Официальное опубликование правовых актов
ОФИЦИАЛЬНОЕ ОПУБЛИКОВАНИЕ
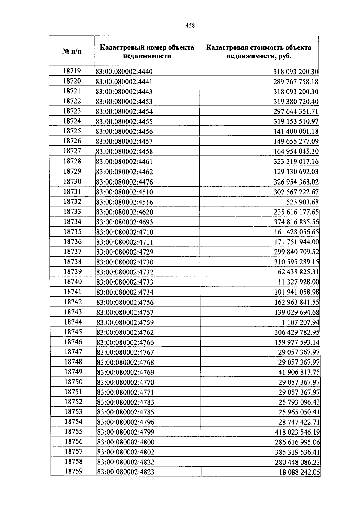
Приказ Управления имущественных и земельных отношений Ненецкого автономного округа от 07.11.2023 № 26
"О результатах определения кадастровой стоимости всех видов объектов недвижимости (за исключением земельных участков) на территории Ненецкого автономного округа"
(Зарегистрирован 07.11.2023 № 383)
Номер опубликования: 8301202311080002
Дата опубликования: 08.11.2023
Страница №459 из 987:
Увеличить