Официальное опубликование правовых актов
ОФИЦИАЛЬНОЕ ОПУБЛИКОВАНИЕ
Приказ Департамента здравоохранения, труда и социальной защиты населения Ненецкого автономного округа от 07.11.2023 № 76
"О внесении изменения в Приложение 1 к Положению о порядке и условиях предоставления из окружного бюджета государственным бюджетным учреждениям Ненецкого автономного округа, подведомственным Департаменту здравоохранения, труда и социальной защиты населения Ненецкого автономного округа, субсидий на иные цели"
(Зарегистрирован 08.11.2023 № 385)
Номер опубликования: 8301202311080001
Дата опубликования: 08.11.2023
Страница №17 из 34:
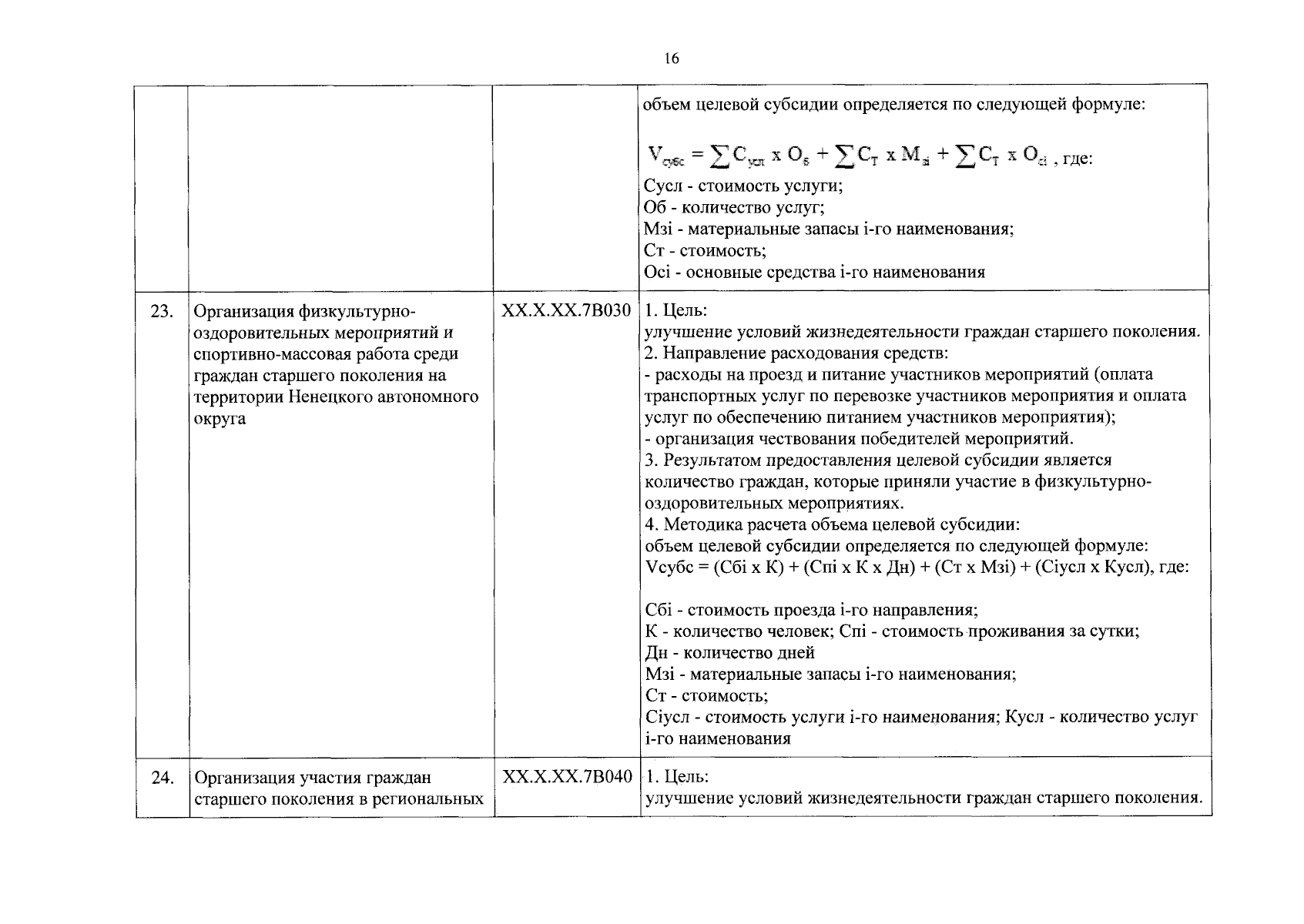
Увеличить