Официальное опубликование правовых актов
ОФИЦИАЛЬНОЕ ОПУБЛИКОВАНИЕ
Приказ Департамента строительства, жилищно-коммунального хозяйства, энергетики и транспорта Ненецкого автономного округа от 28.07.2023 № 32
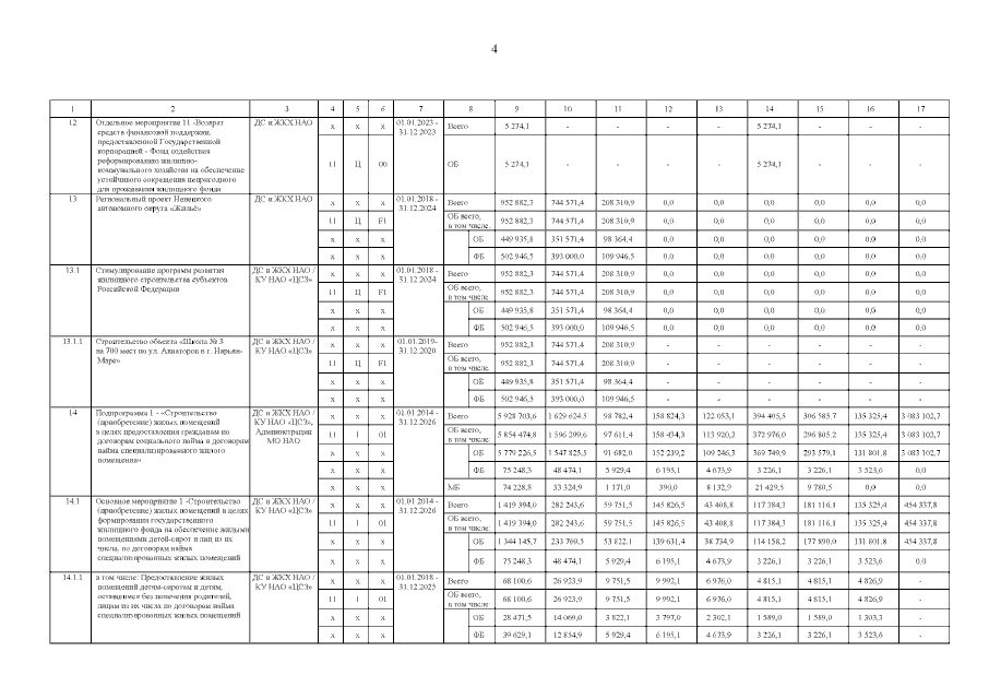
"О внесении изменения в перечень детализированных мероприятий государственной программы Ненецкого автономного округа "Обеспечение доступным и комфортным жильем и коммунальными услугами граждан, проживающих в Ненецком автономном округе"
(Зарегистрирован 31.07.2023 № 288)
Номер опубликования: 8301202307310003
Дата опубликования: 31.07.2023
Страница №5 из 28:
Увеличить