Официальное опубликование правовых актов
ОФИЦИАЛЬНОЕ ОПУБЛИКОВАНИЕ
Приказ Департамента строительства, жилищно-коммунального хозяйства, энергетики и транспорта Ненецкого автономного округа от 13.03.2023 № 3
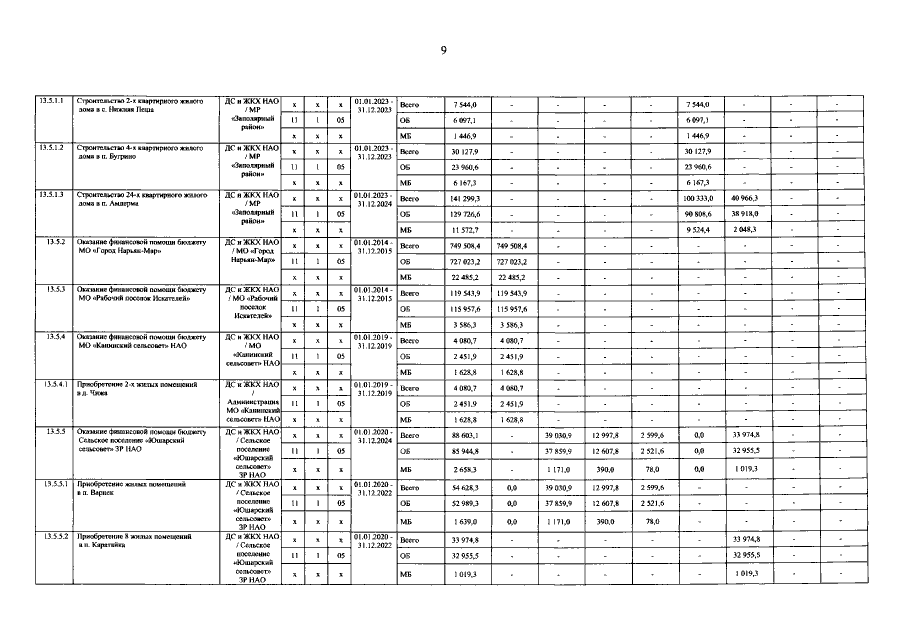
"О внесении изменения в перечень детализированных мероприятий государственной программы Ненецкого автономного округа "Обеспечение доступным и комфортным жильем и коммунальными услугами граждан, проживающих в Ненецком автономном округе"
(Зарегистрирован 15.03.2023 № 98)
Номер опубликования: 8301202303170002
Дата опубликования: 17.03.2023
Страница №10 из 26:
Увеличить