Официальное опубликование правовых актов
ОФИЦИАЛЬНОЕ ОПУБЛИКОВАНИЕ
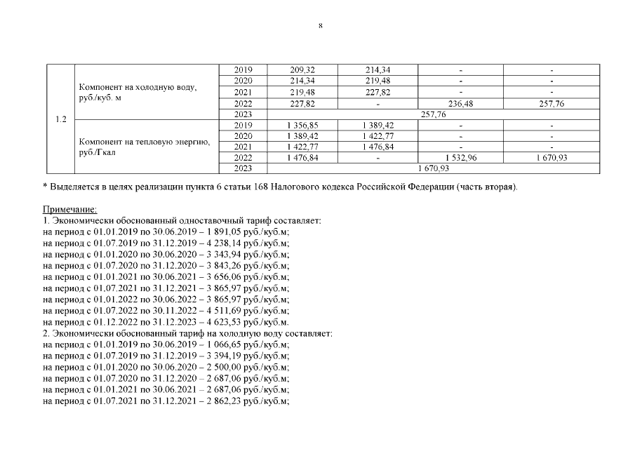
Приказ Управления по государственному регулированию цен (тарифов) Ненецкого автономного округа от 16.11.2022 № 50
"О внесении изменений в приказ Управления по государственному регулированию цен (тарифов) Ненецкого автономного округа от 18.12.2018 № 65"
Номер опубликования: 8301202211170009
Дата опубликования: 17.11.2022
Страница №9 из 10:
Увеличить