Официальное опубликование правовых актов
ОФИЦИАЛЬНОЕ ОПУБЛИКОВАНИЕ
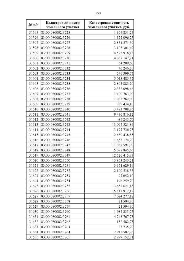
Приказ Управления имущественных и земельных отношений Ненецкого автономного округа от 02.11.2022 № 17
"О результатах определения кадастровой стоимости земельных участков на территории Ненецкого автономного округа"
Номер опубликования: 8301202211030003
Дата опубликования: 03.11.2022
Страница №773 из 917:
Увеличить