Официальное опубликование правовых актов
ОФИЦИАЛЬНОЕ ОПУБЛИКОВАНИЕ
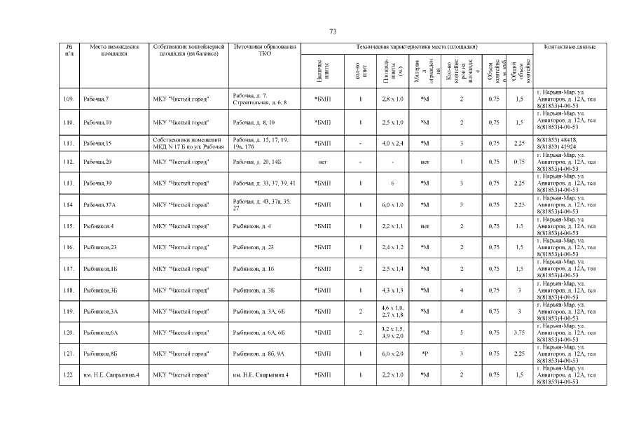
Приказ Департамента природных ресурсов, экологии и агропромышленного комплекса Ненецкого автономного округа от 25.01.2022 № 3-пр
"О внесении изменений в Территориальную схему обращения с отходами на территории Ненецкого автономного округа на период 2016–2030 годов"
Номер опубликования: 8301202201280001
Дата опубликования: 28.01.2022
Страница №74 из 351:
Увеличить