Официальное опубликование правовых актов
ОФИЦИАЛЬНОЕ ОПУБЛИКОВАНИЕ
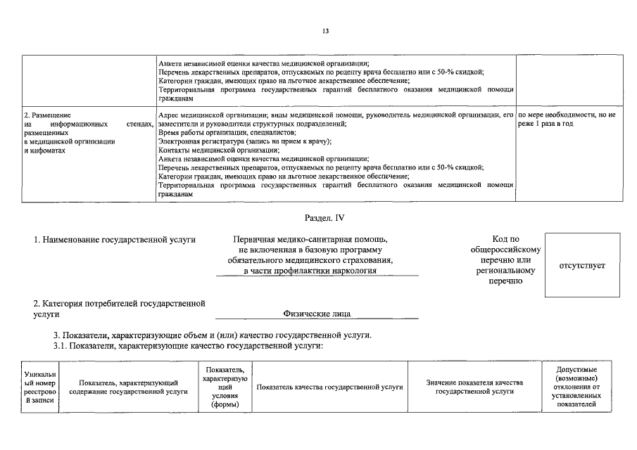
Приказ Департамента здравоохранения, труда и социальной защиты населения Ненецкого автономного округа от 05.11.2020 № 61
"Об утверждении государственного задания государственному бюджетному учреждению здравоохранения Ненецкого автономного округа "Ненецкая окружная больница имени Р.И. Батмановой" на 2020 год и на плановый период 2021 и 2022 годов"
Номер опубликования: 8301202011060003
Дата опубликования: 06.11.2020
Страница №14 из 53:
Увеличить