Официальное опубликование правовых актов
ОФИЦИАЛЬНОЕ ОПУБЛИКОВАНИЕ
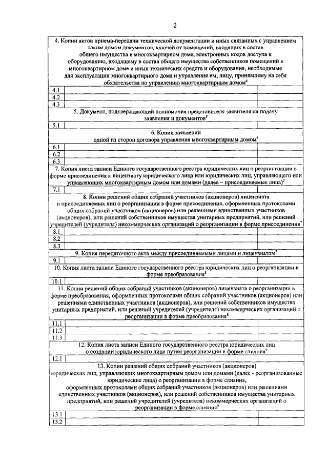
Приказ Департамента внутреннего контроля и надзора Ненецкого автономного округа от 01.06.2020 № 15
"Об утверждении формы заявления о внесении изменений в реестр лицензий Ненецкого автономного округа"
Номер опубликования: 8301202006020004
Дата опубликования: 02.06.2020
Страница №5 из 6:
Увеличить