Официальное опубликование правовых актов
ОФИЦИАЛЬНОЕ ОПУБЛИКОВАНИЕ
Приказ Департамента строительства, жилищно-коммунального хозяйства, энергетики и транспорта Ненецкого автономного округа от 23.03.2020 № 10
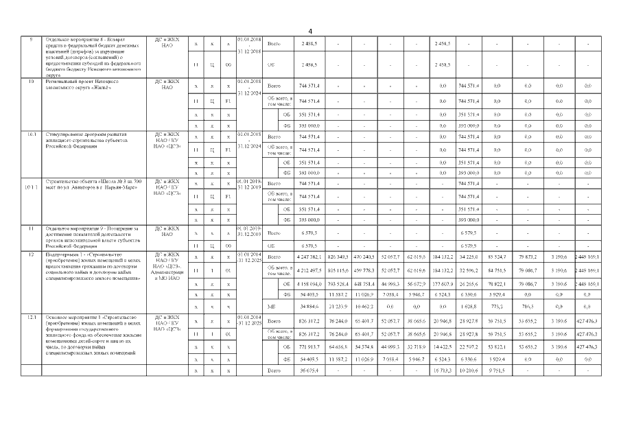
"О внесении изменения в перечень детализированных мероприятий государственной программы Ненецкого автономного округа "Обеспечение доступным и комфортным жильем и коммунальными услугами граждан, проживающих в Ненецком автономном округе"
Номер опубликования: 8301202003240001
Дата опубликования: 24.03.2020
Страница №5 из 23:
Увеличить