Официальное опубликование правовых актов
ОФИЦИАЛЬНОЕ ОПУБЛИКОВАНИЕ
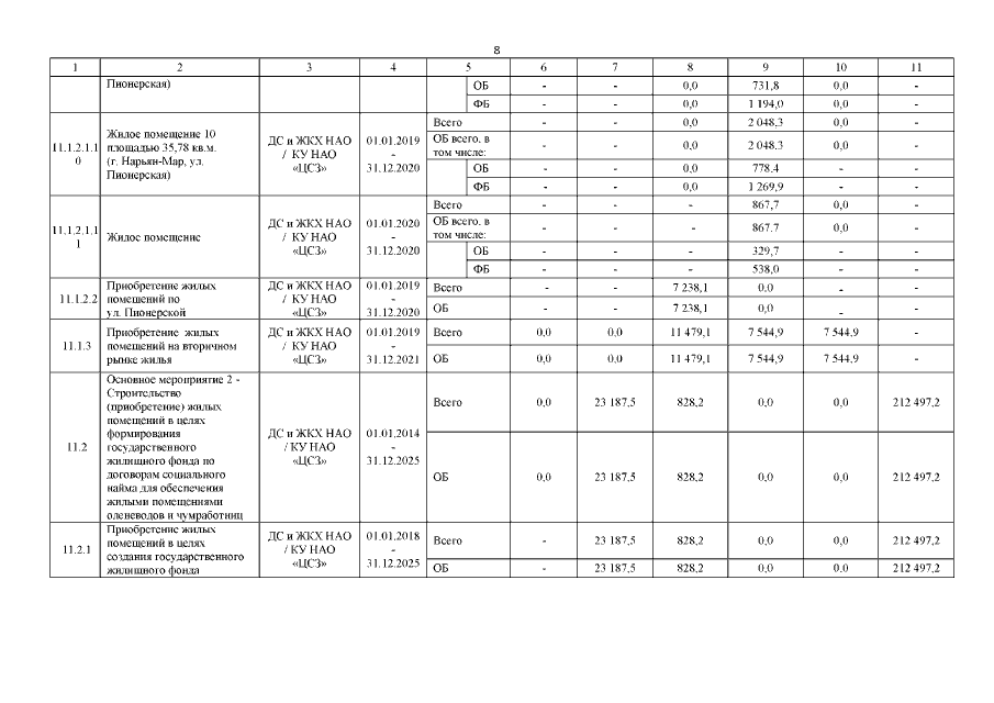
Приказ Департамента строительства, жилищно-коммунального хозяйства, энергетики и транспорта Ненецкого автономного округа от 08.11.2019 № 31
"О внесении изменения в перечень детализированных мероприятий государственной программы Ненецкого автономного округа "Обеспечение доступным и комфортным жильем и коммунальными услугами граждан, проживающих в Ненецком автономном округе"
Номер опубликования: 8301201911080004
Дата опубликования: 08.11.2019
Страница №9 из 27:
Увеличить