Официальное опубликование правовых актов
ОФИЦИАЛЬНОЕ ОПУБЛИКОВАНИЕ
Приказ Управления имущественных и земельных отношений Ненецкого автономного округа от 10.10.2019 № 17
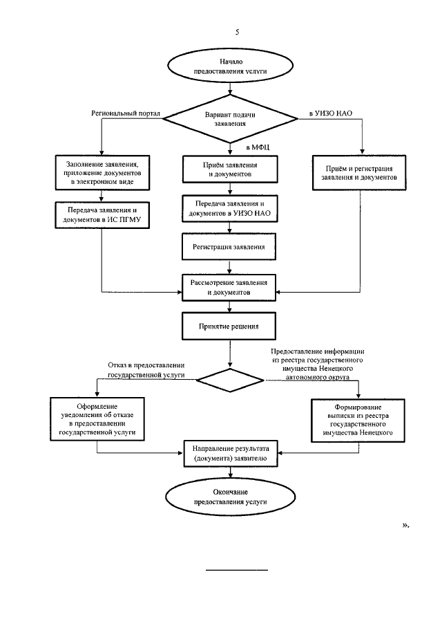
"О внесении изменений в Административный регламент предоставления государственной услуги "Предоставление информации о государственном имуществе Ненецкого автономного округа из реестра государственного имущества Ненецкого автономного округа"
Номер опубликования: 8301201910110002
Дата опубликования: 11.10.2019
Страница №6 из 6:
Увеличить