Официальное опубликование правовых актов
ОФИЦИАЛЬНОЕ ОПУБЛИКОВАНИЕ
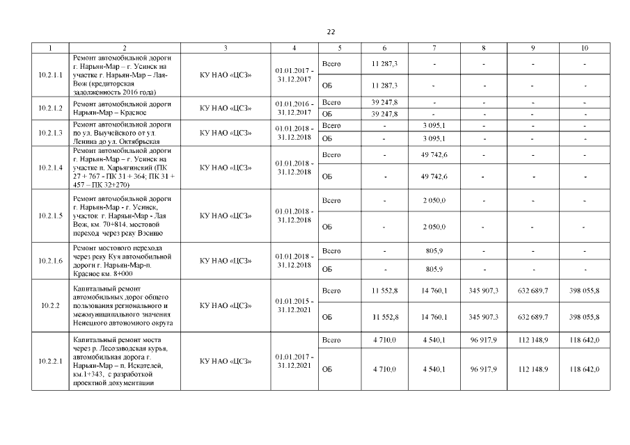
Приказ Департамента строительства, жилищно-коммунального хозяйства, энергетики и транспорта Ненецкого автономного округа от 10.10.2019 № 27
"О внесении изменений в перечень детализированных мероприятий государственной программы Ненецкого автономного округа "Развитие транспортной системы Ненецкого автономного округа"
Номер опубликования: 8301201910100001
Дата опубликования: 10.10.2019
Страница №23 из 28:
Увеличить