Официальное опубликование правовых актов
ОФИЦИАЛЬНОЕ ОПУБЛИКОВАНИЕ
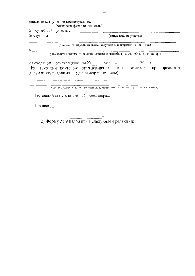
Приказ Департамента внутренней политики Ненецкого автономного округа от 11.06.2019 № 20
"О внесении изменений в Инструкцию по судебному делопроизводству у мирового судьи Ненецкого автономного округа"
Номер опубликования: 8301201906140003
Дата опубликования: 14.06.2019
Страница №26 из 34:
Увеличить