Официальное опубликование правовых актов
ОФИЦИАЛЬНОЕ ОПУБЛИКОВАНИЕ
Приказ Департамента здравоохранения, труда и социальной защиты населения Ненецкого автономного округа от 29.12.2018 № 60
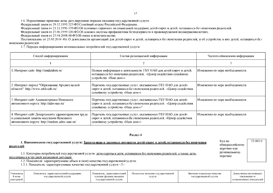
"Об утверждении государственного задания государственному бюджетному учреждению Ненецкого автономного округа для детей-сирот и детей, оставшихся без попечения родителей, "Центр содействия семейному устройству "Наш дом"" на 2019 год и на плановый период 2020 и 2021 годов"
Номер опубликования: 8301201901040009
Дата опубликования: 04.01.2019
Страница №14 из 23:
Увеличить