Официальное опубликование правовых актов
ОФИЦИАЛЬНОЕ ОПУБЛИКОВАНИЕ
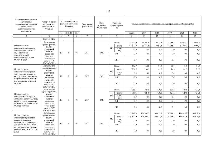
Приказ Департамента здравоохранения, труда и социальной защиты населения Ненецкого автономного округа от 28.12.2018 № 59
"Об утверждении перечня детализированных мероприятий государственной программы Ненецкого автономного округа "Социальная поддержка граждан в Ненецком автономном округе"
Номер опубликования: 8301201901040006
Дата опубликования: 04.01.2019
Страница №39 из 43:
Увеличить