Официальное опубликование правовых актов
ОФИЦИАЛЬНОЕ ОПУБЛИКОВАНИЕ
Приказ Департамента здравоохранения, труда и социальной защиты населения Ненецкого автономного округа от 14.12.2017 № 86
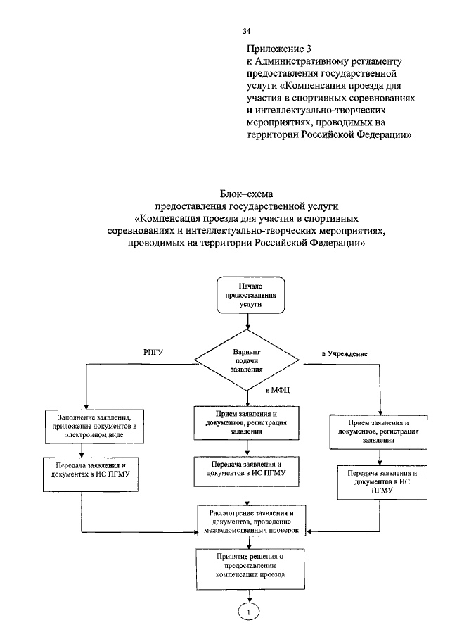
"Об утверждении Административного регламента предоставления государственной услуги "Компенсация проезда для участия в спортивных соревнованиях и интеллектуально-творческих мероприятиях, проводимых на территории Российской Федерации"
Номер опубликования: 8301201712180016
Дата опубликования: 18.12.2017
Страница №35 из 36:
Увеличить