Официальное опубликование правовых актов
ОФИЦИАЛЬНОЕ ОПУБЛИКОВАНИЕ
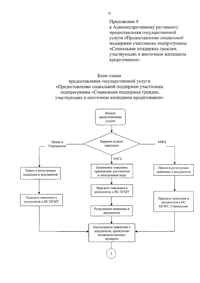
Приказ Департамента здравоохранения, труда и социальной защиты населения Ненецкого автономного округа от 06.12.2017 № 82
"Об утверждении Административного регламента предоставления государственной услуги "Предоставление социальной поддержки участникам подпрограммы "Социальная поддержка граждан, участвующих в ипотечном жилищном кредитовании"
Номер опубликования: 8301201712110002
Дата опубликования: 11.12.2017
Страница №60 из 61:
Увеличить