Приказ Департамента здравоохранения, труда и социальной защиты населения Ненецкого автономного округа от 31.07.2017 № 57
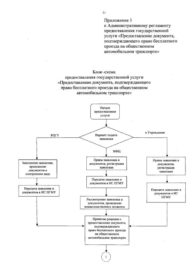
"Об утверждении Административного регламента предоставления государственной услуги "Предоставление документа, подтверждающего право бесплатного проезда на общественном автомобильном транспорте"
"Об утверждении Административного регламента предоставления государственной услуги "Предоставление документа, подтверждающего право бесплатного проезда на общественном автомобильном транспорте"
Номер опубликования: 8301201708020004
Дата опубликования:
02.08.2017
