Официальное опубликование правовых актов
ОФИЦИАЛЬНОЕ ОПУБЛИКОВАНИЕ
Приказ Управления гражданской защиты и обеспечения пожарной безопасности Ненецкого автономного округа от 30.06.2017 № 22
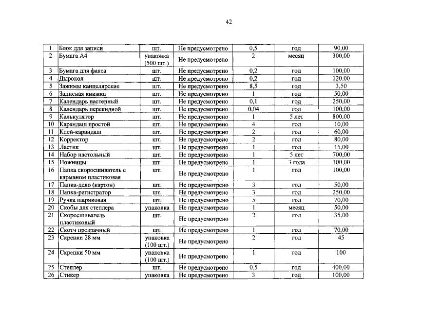
"Об утверждении Нормативных затрат на обеспечение функций Управления гражданской защиты и обеспечения пожарной безопасности Ненецкого автономного округа и подведомственных ему казенных учреждений"
Номер опубликования: 8301201707040001
Дата опубликования: 04.07.2017
Страница №43 из 62:
Увеличить