Приказ Управления имущественных и земельных отношений Ненецкого автономного округа от 29.05.2017 № 9
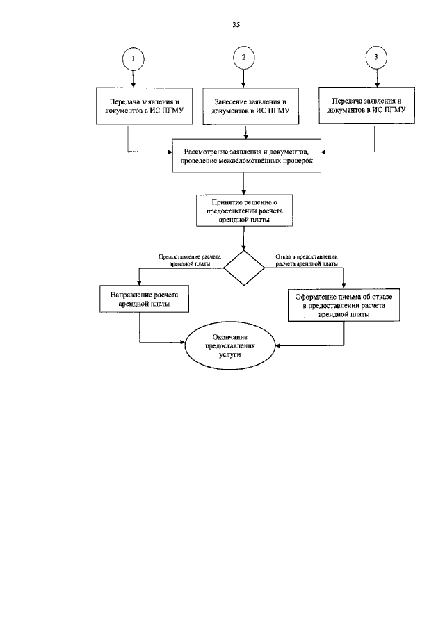
"Об утверждении административного регламента предоставления государственной услуги "Расчет стоимости арендной платы за земельные участки, находящиеся в собственности Ненецкого автономного округа, и земельные участки, государственная собственность на которые не разграничена, расположенные в границах Ненецкого автономного округа"
"Об утверждении административного регламента предоставления государственной услуги "Расчет стоимости арендной платы за земельные участки, находящиеся в собственности Ненецкого автономного округа, и земельные участки, государственная собственность на которые не разграничена, расположенные в границах Ненецкого автономного округа"
Номер опубликования: 8301201706020004
Дата опубликования:
02.06.2017
