Официальное опубликование правовых актов
ОФИЦИАЛЬНОЕ ОПУБЛИКОВАНИЕ
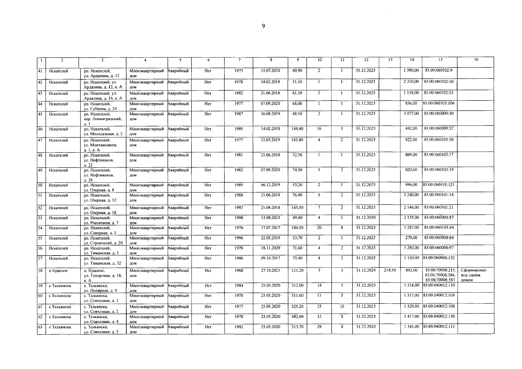
Постановление Администрации Ненецкого автономного округа от 29.12.2025 № 373-п
"О внесении изменений в региональную адресную программу "Переселение граждан из аварийного жилищного фонда Ненецкого автономного округа в 2024–2026 годах"
Номер опубликования: 8300202512300012
Дата опубликования: 30.12.2025
Страница №10 из 17:
Увеличить