Официальное опубликование правовых актов
ОФИЦИАЛЬНОЕ ОПУБЛИКОВАНИЕ
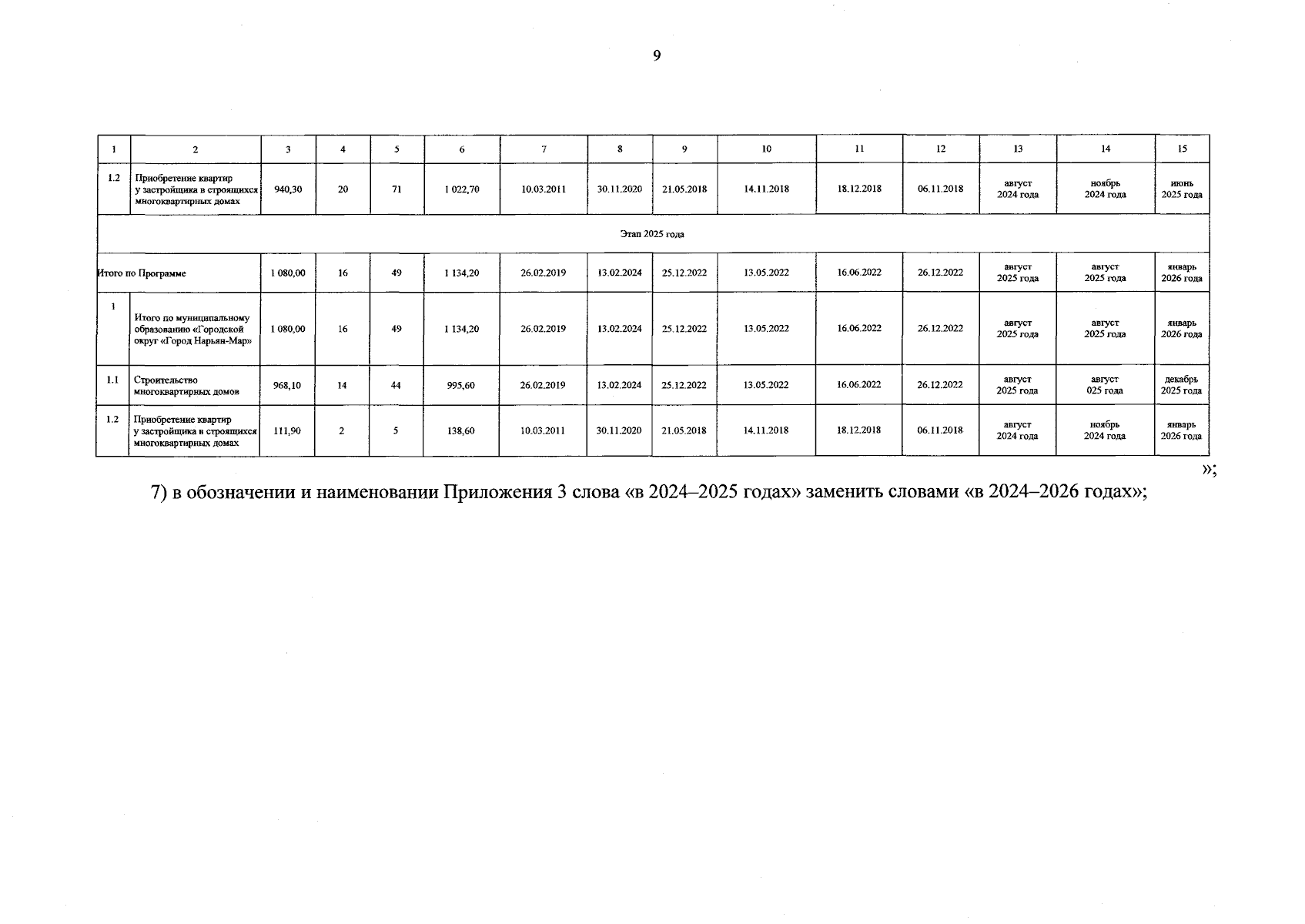
Постановление Администрации Ненецкого автономного округа от 04.08.2025 № 205-п
"О внесении изменений в постановление Администрации Ненецкого автономного округа от 02.05.2024 № 111-п"
Номер опубликования: 8300202508070002
Дата опубликования: 07.08.2025
Страница №10 из 15:
Увеличить