Официальное опубликование правовых актов
ОФИЦИАЛЬНОЕ ОПУБЛИКОВАНИЕ
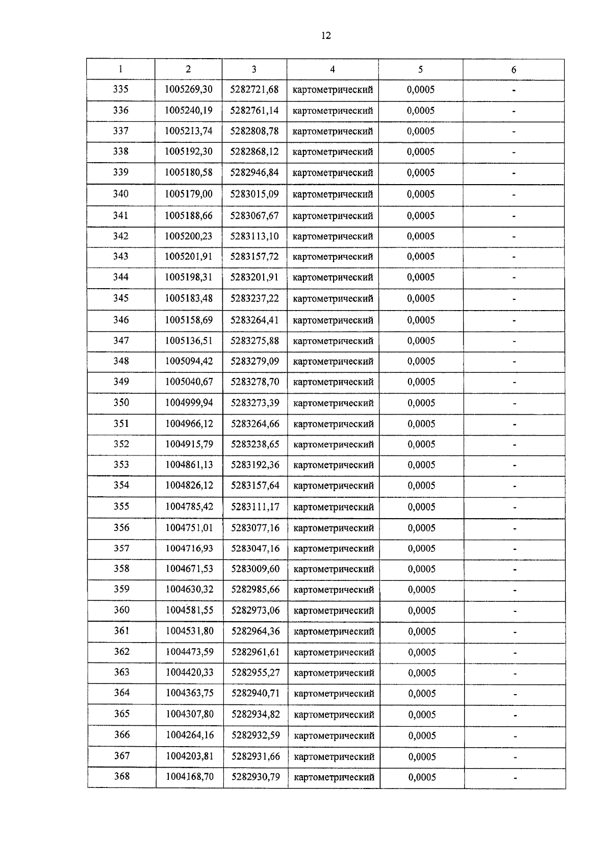
Постановление Администрации Ненецкого автономного округа от 07.11.2024 № 259-п
"Об установлении границ лесопаркового зеленого пояса вокруг города Нарьян-Мара"
Номер опубликования: 8300202411110001
Дата опубликования: 11.11.2024
Страница №13 из 64:
Увеличить