Официальное опубликование правовых актов
ОФИЦИАЛЬНОЕ ОПУБЛИКОВАНИЕ
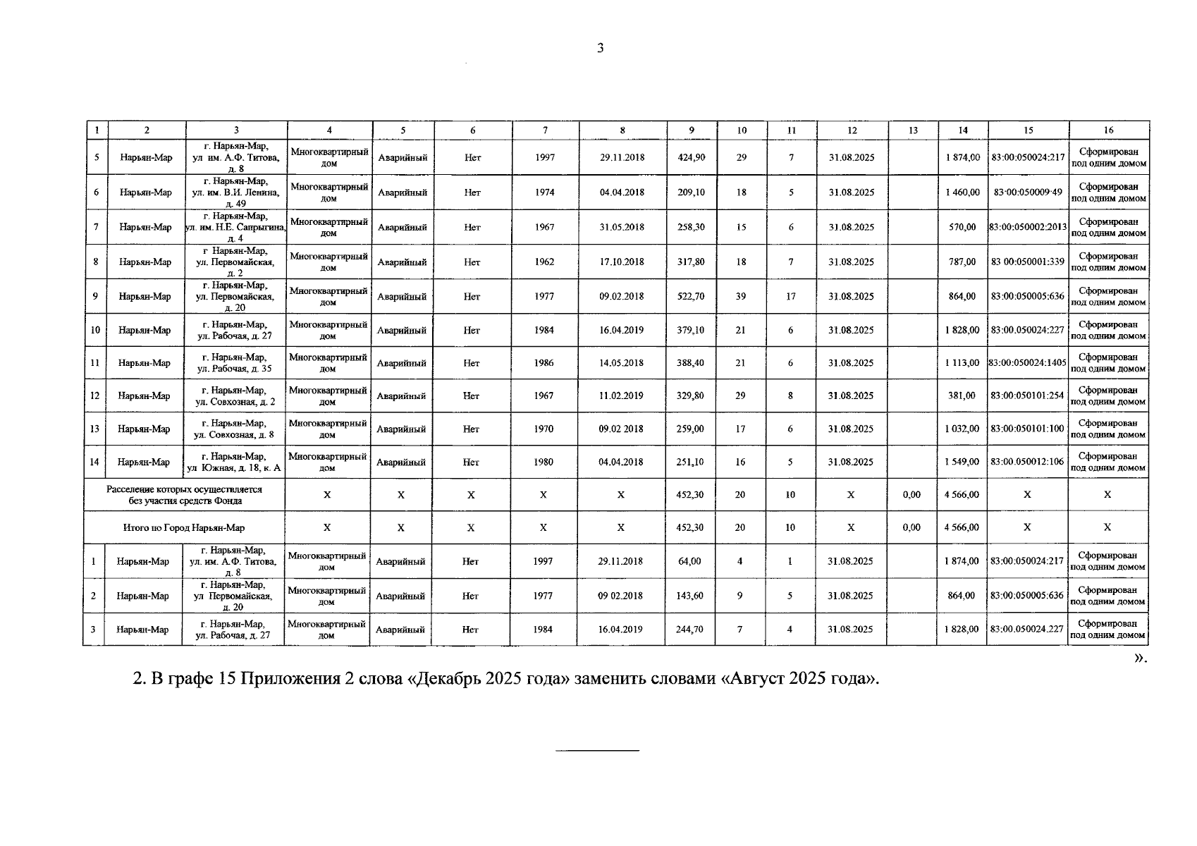
Постановление Администрации Ненецкого автономного округа от 04.07.2024 № 164-п
"О внесении изменений в региональную адресную программу "Переселение граждан из аварийного жилищного фонда Ненецкого автономного округа в 2024–2025 годах"
Номер опубликования: 8300202407040003
Дата опубликования: 04.07.2024
Страница №4 из 4:
Увеличить