Официальное опубликование правовых актов
ОФИЦИАЛЬНОЕ ОПУБЛИКОВАНИЕ
Постановление Администрации Ненецкого автономного округа от 24.06.2024 № 153-п
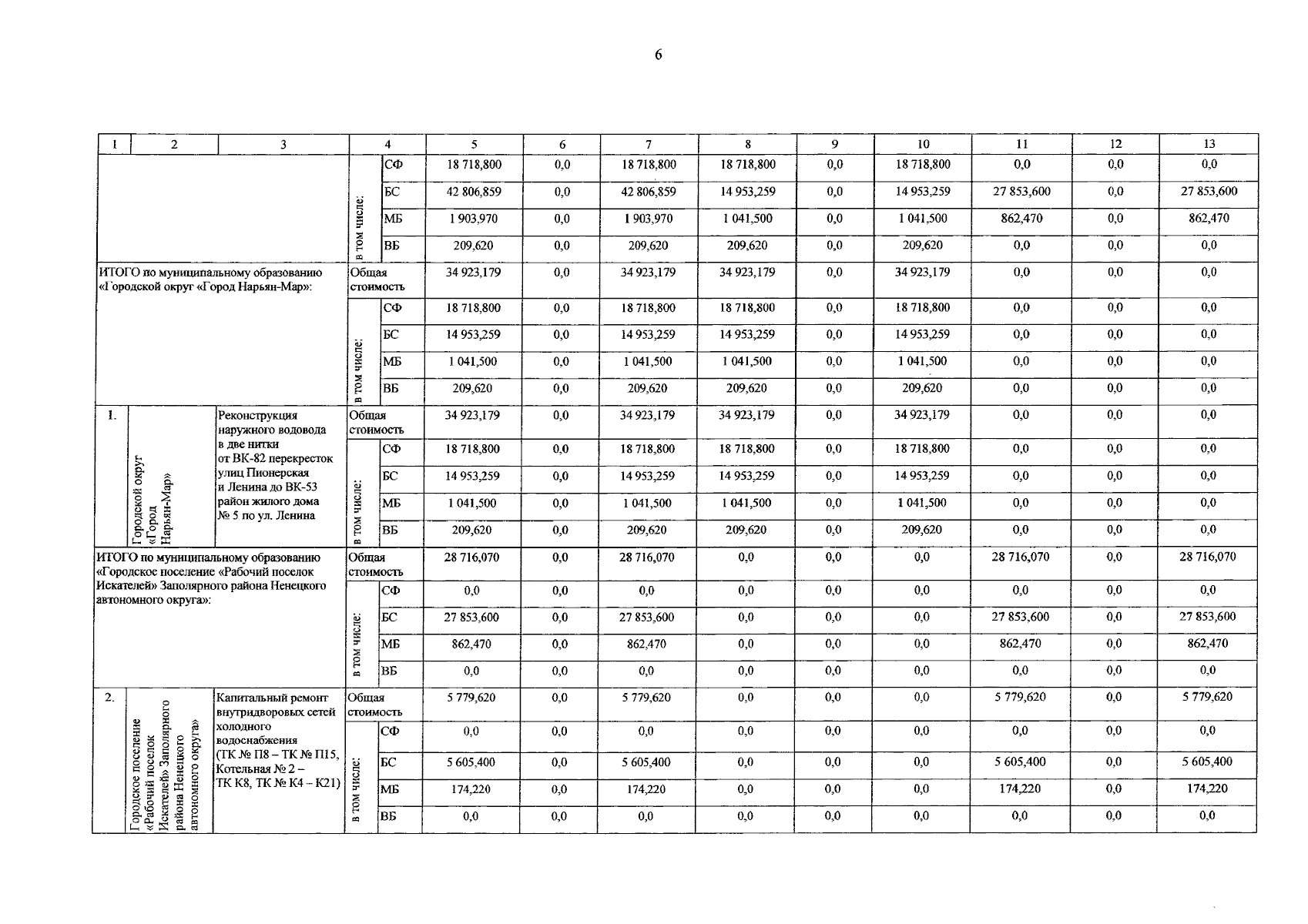
"О внесении изменений в региональную программу "Модернизация систем коммунальной инфраструктуры Ненецкого автономного округа на 2023–2027 годы"
Номер опубликования: 8300202406260007
Дата опубликования: 26.06.2024
Страница №7 из 14:
Увеличить