Официальное опубликование правовых актов
ОФИЦИАЛЬНОЕ ОПУБЛИКОВАНИЕ
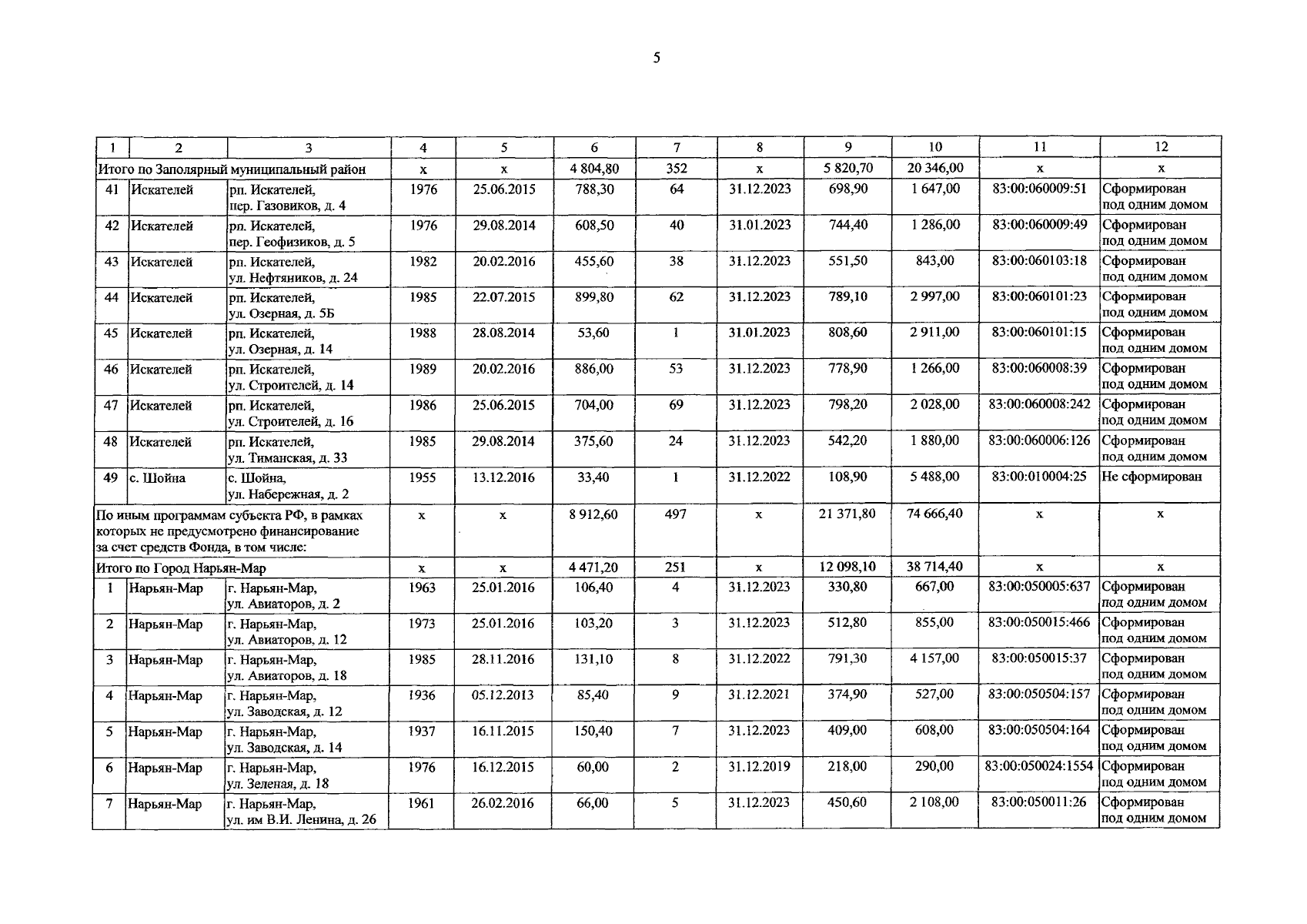
Постановление Администрации Ненецкого автономного округа от 24.04.2024 № 99-п
"О внесении изменений в региональную адресную программу "Переселение граждан из аварийного жилищного фонда Ненецкого автономного округа"
Номер опубликования: 8300202404250001
Дата опубликования: 25.04.2024
Страница №6 из 16:
Увеличить