Официальное опубликование правовых актов
ОФИЦИАЛЬНОЕ ОПУБЛИКОВАНИЕ
Постановление Администрации Ненецкого автономного округа от 04.04.2024 № 85-п
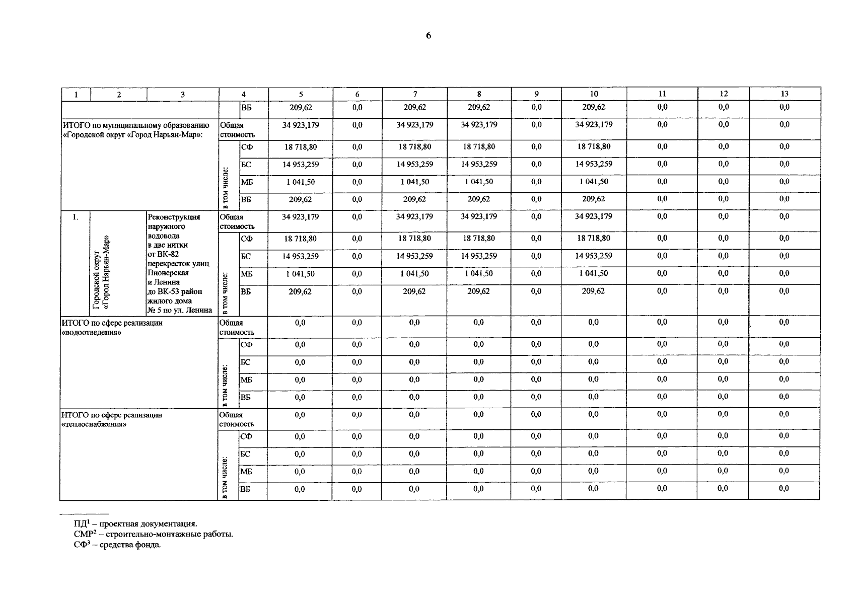
"О внесении изменений в региональную программу "Модернизация систем коммунальной инфраструктуры Ненецкого автономного округа на 2023–2027 годы"
Номер опубликования: 8300202404050004
Дата опубликования: 05.04.2024
Страница №7 из 11:
Увеличить