Официальное опубликование правовых актов
ОФИЦИАЛЬНОЕ ОПУБЛИКОВАНИЕ
Постановление Администрации Ненецкого автономного округа от 05.03.2024 № 42-п
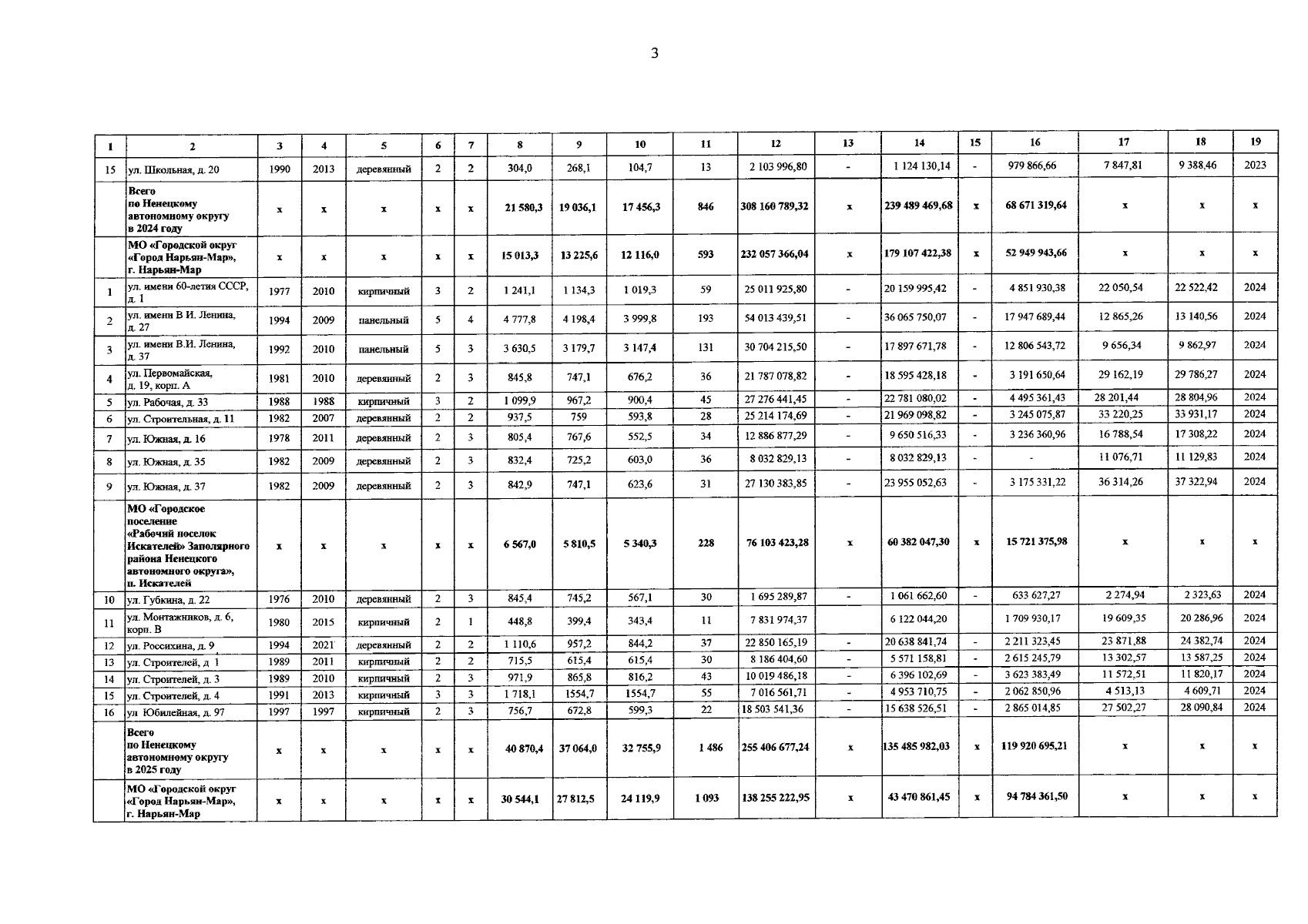
"О внесении изменений в краткосрочный план реализации региональной программы капитального ремонта общего имущества в многоквартирных домах, расположенных на территории Ненецкого автономного округа, на 2023–2025 годы"
Номер опубликования: 8300202403060003
Дата опубликования: 06.03.2024
Страница №4 из 9:
Увеличить