Официальное опубликование правовых актов
ОФИЦИАЛЬНОЕ ОПУБЛИКОВАНИЕ
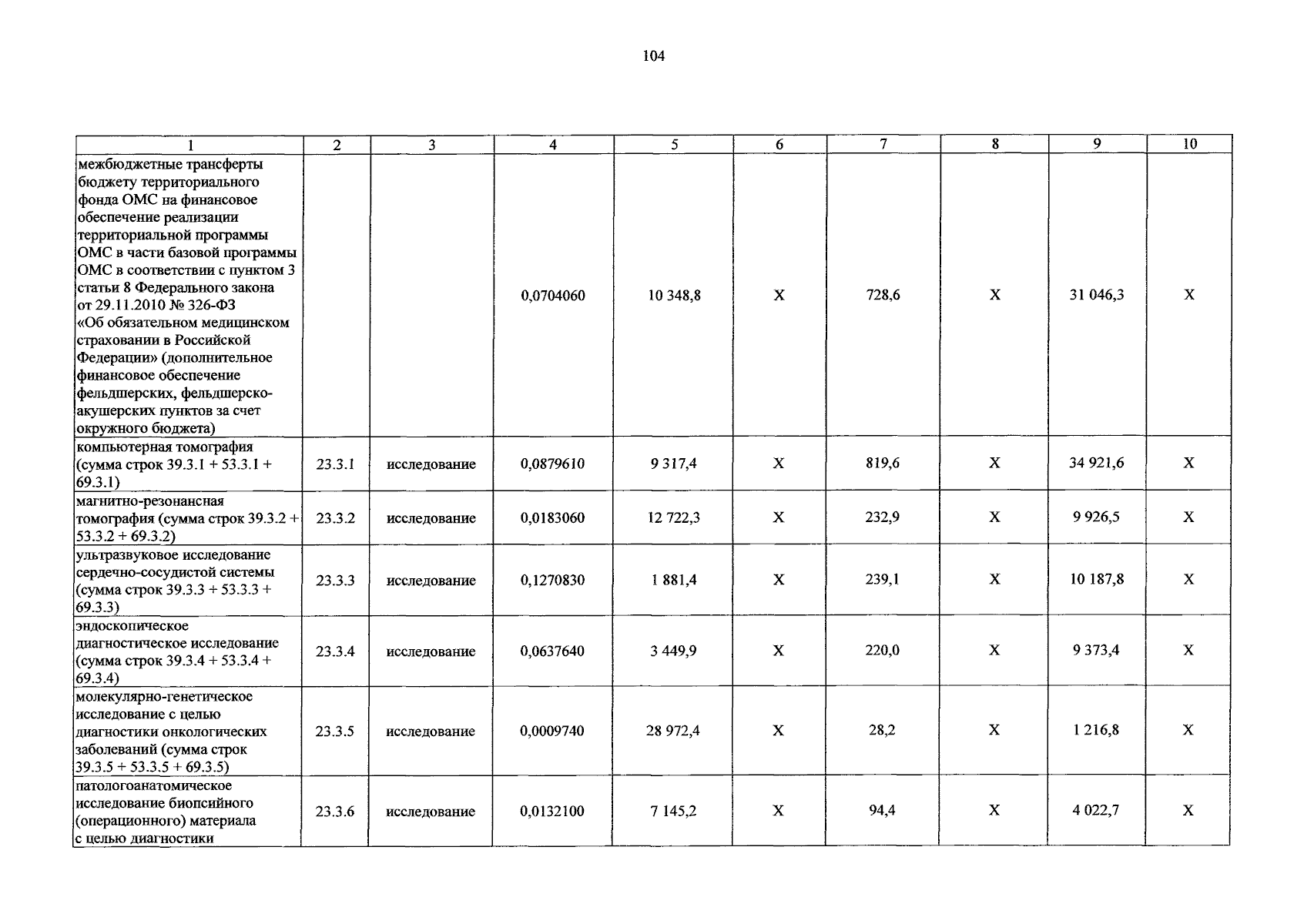
Постановление Администрации Ненецкого автономного округа от 29.12.2023 № 380-п
"О внесении изменений в Программу государственных гарантий бесплатного оказания гражданам медицинской помощи на территории Ненецкого автономного округа на 2023 год и на плановый период 2024 и 2025 годов"
Номер опубликования: 8300202312310001
Дата опубликования: 31.12.2023
Страница №105 из 158:
Увеличить