Официальное опубликование правовых актов
ОФИЦИАЛЬНОЕ ОПУБЛИКОВАНИЕ
Постановление Администрации Ненецкого автономного округа от 26.12.2023 № 372-п
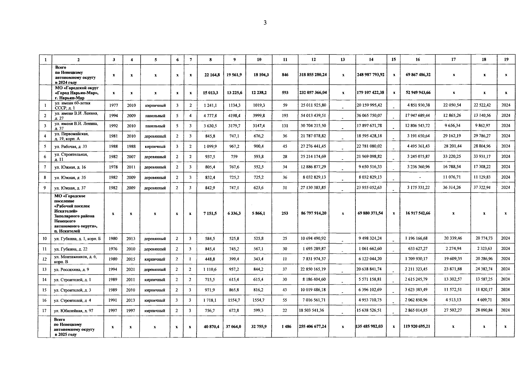
"О внесении изменений в краткосрочный план реализации региональной программы капитального ремонта общего имущества в многоквартирных домах, расположенных на территории Ненецкого автономного округа, на 2023–2025 годы"
Номер опубликования: 8300202312270002
Дата опубликования: 27.12.2023
Страница №4 из 9:
Увеличить