Официальное опубликование правовых актов
ОФИЦИАЛЬНОЕ ОПУБЛИКОВАНИЕ
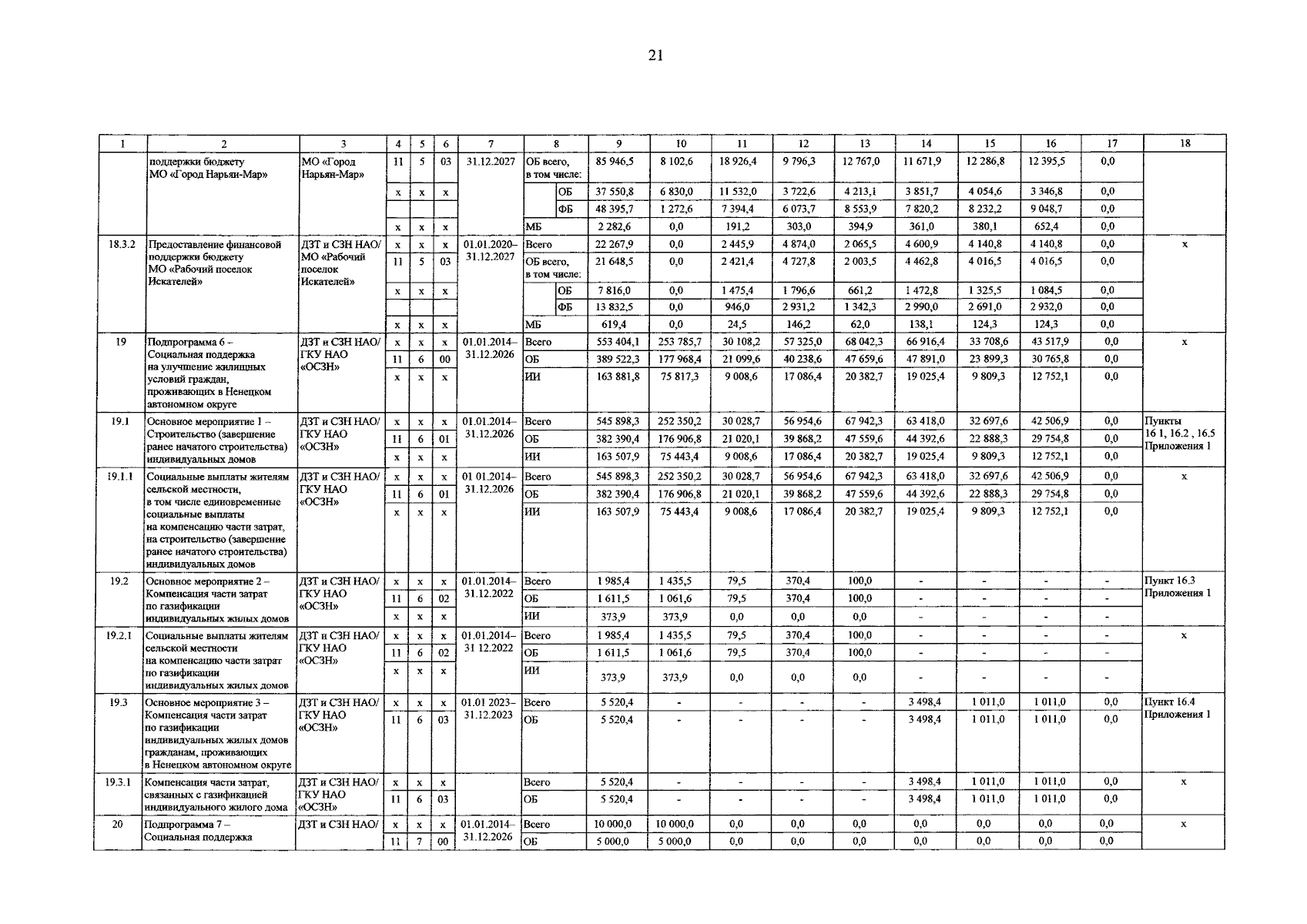
Постановление Администрации Ненецкого автономного округа от 25.12.2023 № 366-п
"О внесении изменений в государственную программу Ненецкого автономного округа "Обеспечение доступным и комфортным жильем и коммунальными услугами граждан, проживающих в Ненецком автономном округе"
Номер опубликования: 8300202312260003
Дата опубликования: 26.12.2023
Страница №22 из 23:
Увеличить