Официальное опубликование правовых актов
ОФИЦИАЛЬНОЕ ОПУБЛИКОВАНИЕ
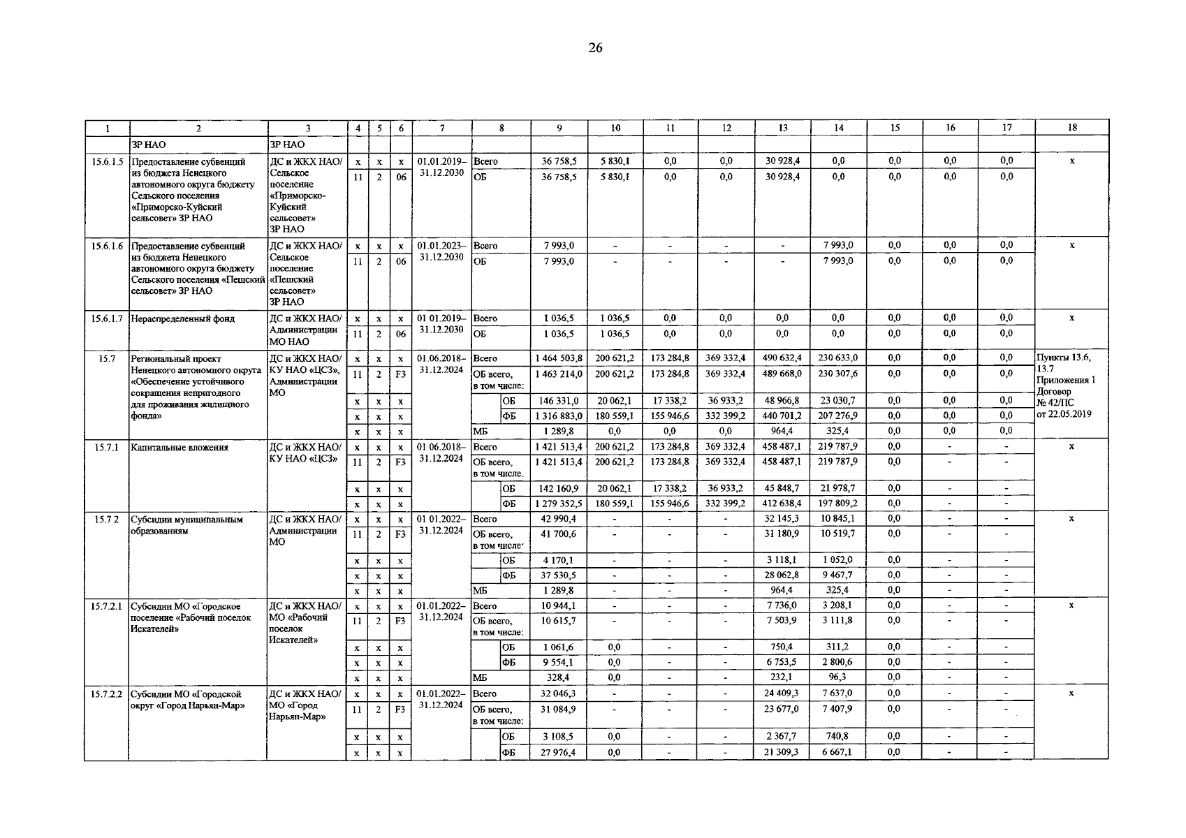
Постановление Администрации Ненецкого автономного округа от 15.08.2023 № 239-п
"О внесении изменений в государственную программу Ненецкого автономного округа "Обеспечение доступным и комфортным жильем и коммунальными услугами граждан, проживающих в Ненецком автономном округе"
Номер опубликования: 8300202308180002
Дата опубликования: 18.08.2023
Страница №27 из 33:
Увеличить