Официальное опубликование правовых актов
ОФИЦИАЛЬНОЕ ОПУБЛИКОВАНИЕ
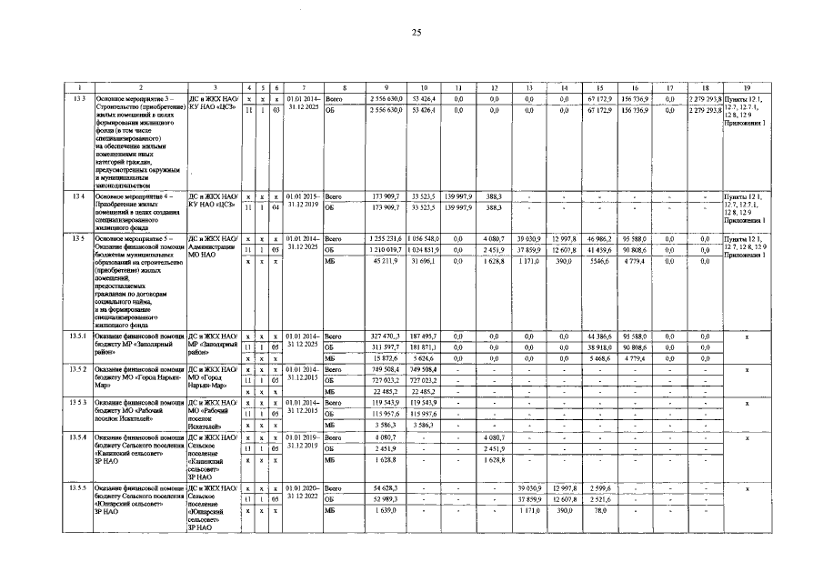
Постановление Администрации Ненецкого автономного округа от 28.09.2022 № 265-п
"О внесении изменений в государственную программу Ненецкого автономного округа "Обеспечение доступным и комфортным жильем и коммунальными услугами граждан, проживающих в Ненецком автономном округе"
Номер опубликования: 8300202209290010
Дата опубликования: 29.09.2022
Страница №26 из 35:
Увеличить