Официальное опубликование правовых актов
ОФИЦИАЛЬНОЕ ОПУБЛИКОВАНИЕ
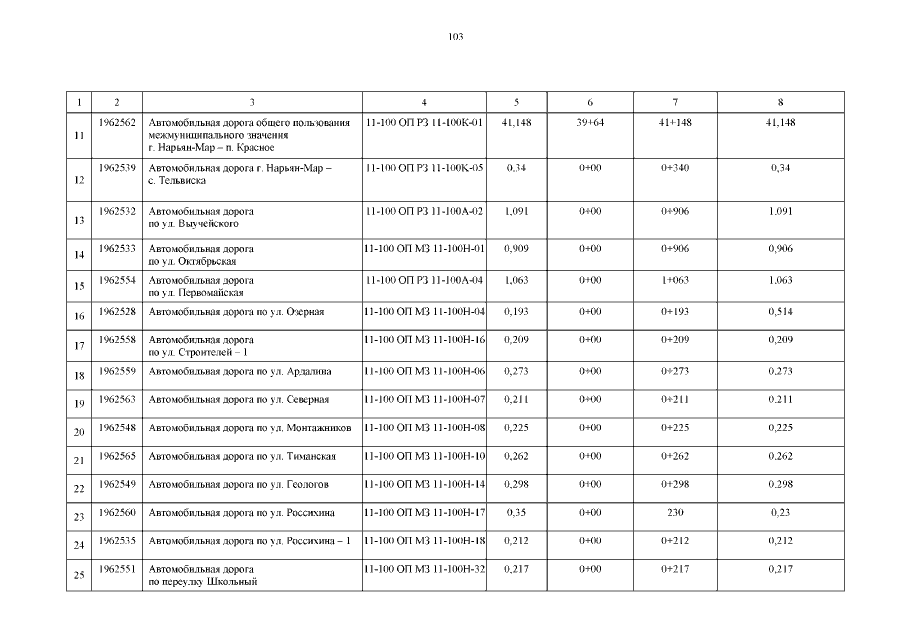
Постановление Администрации Ненецкого автономного округа от 22.05.2020 № 132-п
"О внесении изменений в государственную программу Ненецкого автономного округа "Развитие транспортной системы Ненецкого автономного округа"
Номер опубликования: 8300202005290004
Дата опубликования: 29.05.2020
Страница №104 из 125:
Увеличить