Официальное опубликование правовых актов
ОФИЦИАЛЬНОЕ ОПУБЛИКОВАНИЕ
Постановление Администрации Ненецкого автономного округа от 13.01.2020 № 4-п
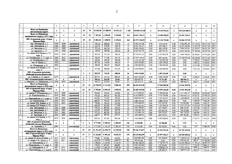
"О внесении изменений в краткосрочный план реализации региональной программы капитального ремонта общего имущества в многоквартирных домах, расположенных на территории Ненецкого автономного округа, на 2017–2019 годы"
Номер опубликования: 8300202001140001
Дата опубликования: 14.01.2020
Страница №3 из 11:
Увеличить