Официальное опубликование правовых актов
ОФИЦИАЛЬНОЕ ОПУБЛИКОВАНИЕ
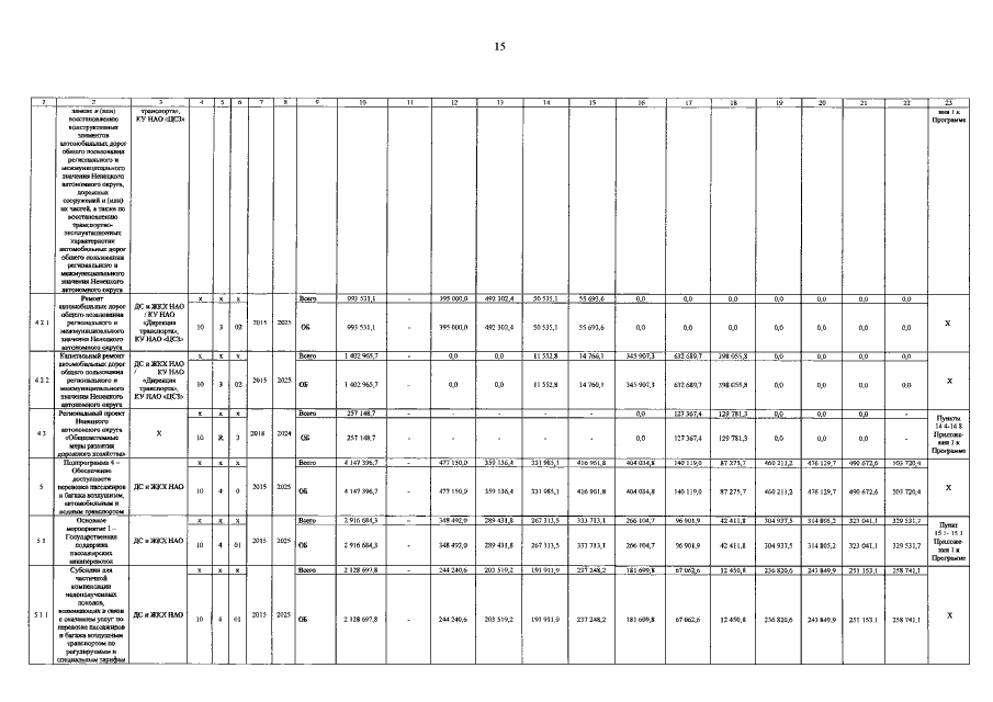
Постановление Администрации Ненецкого автономного округа от 28.08.2019 № 237-п
"О внесении изменений в государственную программу Ненецкого автономного округа "Развитие транспортной системы Ненецкого автономного округа"
Номер опубликования: 8300201908290009
Дата опубликования: 29.08.2019
Страница №16 из 23:
Увеличить