Официальное опубликование правовых актов
ОФИЦИАЛЬНОЕ ОПУБЛИКОВАНИЕ
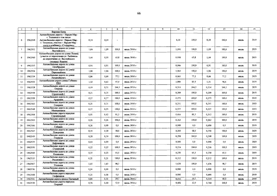
Постановление Администрации Ненецкого автономного округа от 01.08.2019 № 216-п
"О внесении изменений в государственную программу Ненецкого автономного округа "Развитие транспортной системы Ненецкого автономного округа"
Номер опубликования: 8300201908050001
Дата опубликования: 05.08.2019
Страница №67 из 90:
Увеличить