Официальное опубликование правовых актов
ОФИЦИАЛЬНОЕ ОПУБЛИКОВАНИЕ
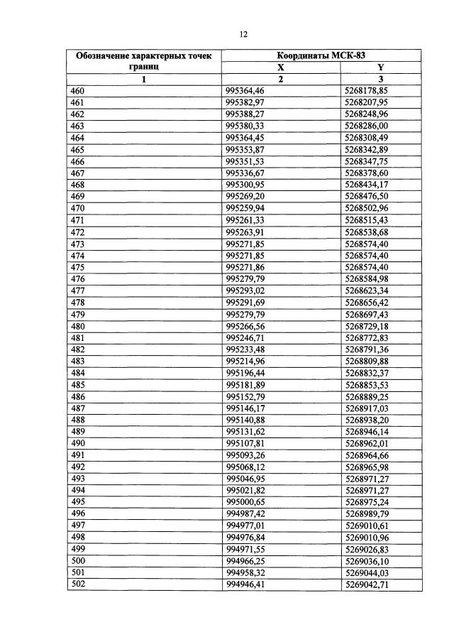
Постановление Администрации Ненецкого автономного округа от 28.05.2019 № 152-п
"Об установлении границ лесопаркового зеленого пояса вокруг города Нарьян-Мара"
Номер опубликования: 8300201905290002
Дата опубликования: 29.05.2019
Страница №13 из 35:
Увеличить