Официальное опубликование правовых актов
ОФИЦИАЛЬНОЕ ОПУБЛИКОВАНИЕ
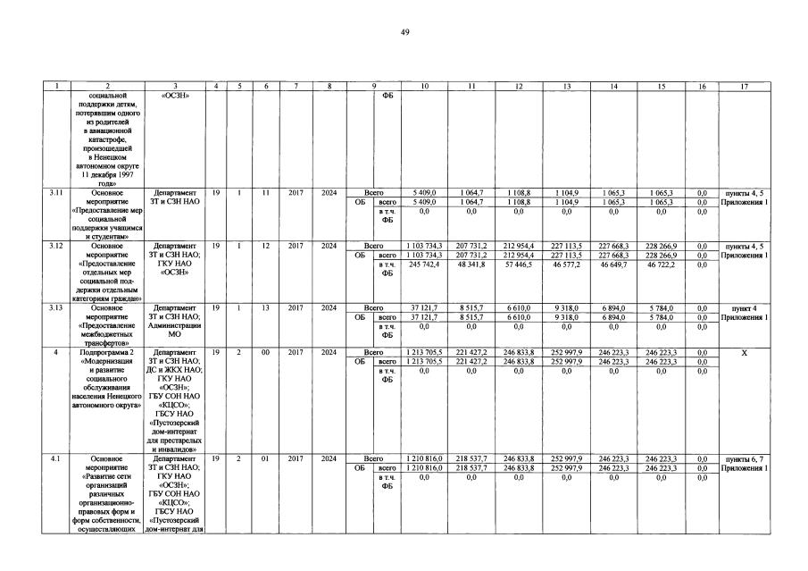
Постановление Администрации Ненецкого автономного округа от 08.02.2019 № 37-п
"О внесении изменений в государственную программу Ненецкого автономного округа "Социальная поддержка граждан в Ненецком автономном округе"
Номер опубликования: 8300201902110014
Дата опубликования: 11.02.2019
Страница №50 из 55:
Увеличить