Официальное опубликование правовых актов
ОФИЦИАЛЬНОЕ ОПУБЛИКОВАНИЕ
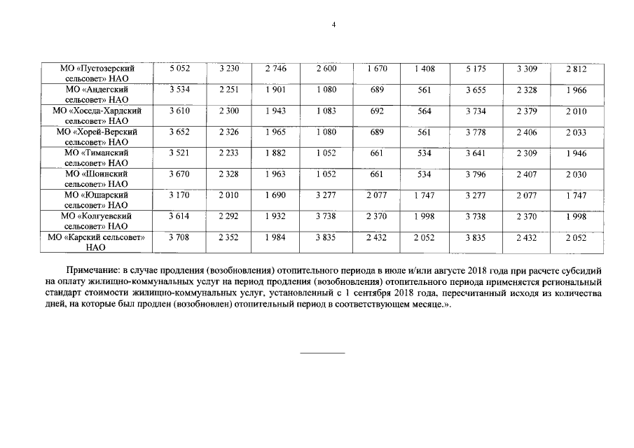
Постановление Администрации Ненецкого автономного округа от 12.02.2018 № 18-п
"О внесении изменения в региональные стандарты стоимости жилищно-коммунальных услуг в Ненецком автономном округе на 2018 год"
Номер опубликования: 8300201802130003
Дата опубликования: 13.02.2018
Страница №5 из 5:
Увеличить