Официальное опубликование правовых актов
ОФИЦИАЛЬНОЕ ОПУБЛИКОВАНИЕ
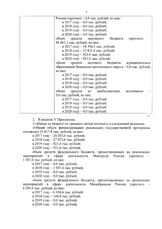
Постановление Администрации Ненецкого автономного округа от 30.01.2018 № 8-п
"О внесении изменений в государственную программу Ненецкого автономного округа "Доступная среда Ненецкого автономного округа на 2017-2020 годы"
Номер опубликования: 8300201802080002
Дата опубликования: 08.02.2018
Страница №3 из 17:
Увеличить