Официальное опубликование правовых актов
ОФИЦИАЛЬНОЕ ОПУБЛИКОВАНИЕ
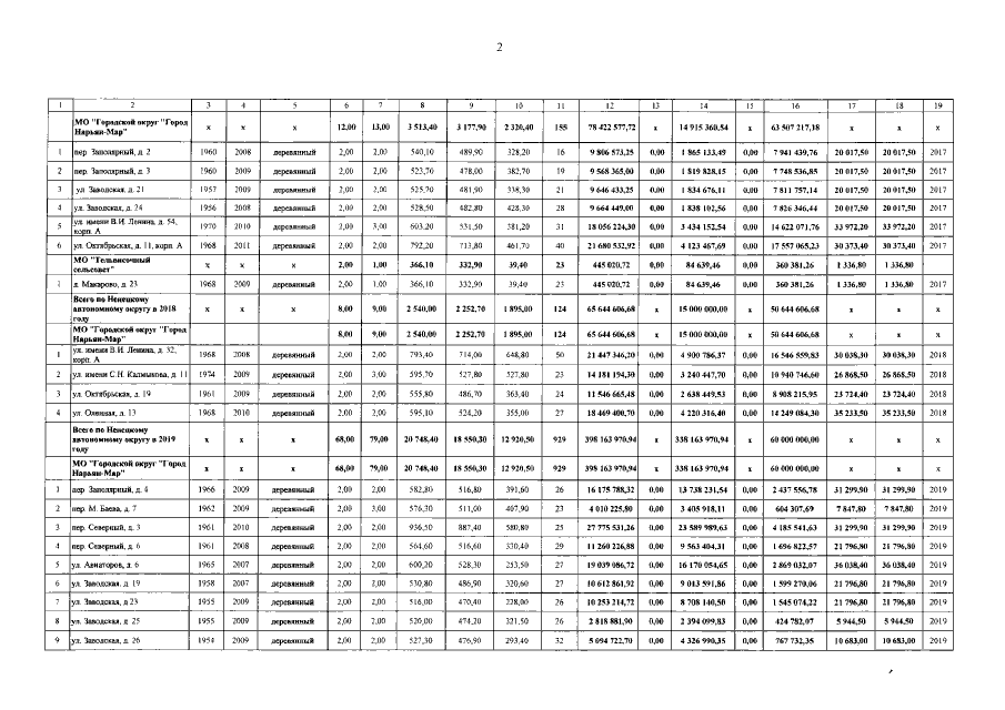
Постановление Администрации Ненецкого автономного округа от 20.03.2017 № 75-п
"Об утверждении краткосрочного плана реализации региональной программы капитального ремонта общего имущества в многоквартирных домах, расположенных на территории Ненецкого автономного округа, на 2017-2019 годы"
Номер опубликования: 8300201703220001
Дата опубликования: 22.03.2017
Страница №3 из 16:
Увеличить