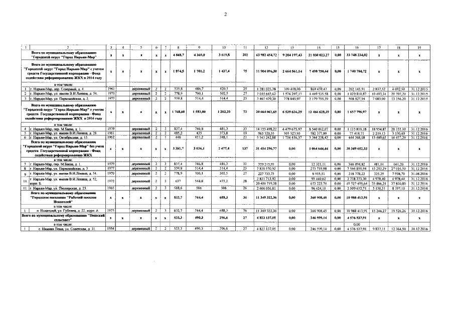
Постановление Администрации Ненецкого автономного округа от 22.09.2016 № 307-п
"О внесении изменений в краткосрочный план реализации региональной программы капитального ремонта общего имущества в многоквартирных домах, расположенных на территории Ненецкого автономного округа, на 2014-2016 годы"
"О внесении изменений в краткосрочный план реализации региональной программы капитального ремонта общего имущества в многоквартирных домах, расположенных на территории Ненецкого автономного округа, на 2014-2016 годы"
Номер опубликования: 8300201609260001
Дата опубликования:
26.09.2016
