Официальное опубликование правовых актов
ОФИЦИАЛЬНОЕ ОПУБЛИКОВАНИЕ
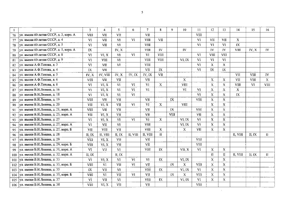
Постановление Администрации Ненецкого автономного округа от 08.04.2016 № 110-п
"О внесении изменений в региональную программу капитального ремонта общего имущества в многоквартирных домах, расположенных на территории Ненецкого автономного округа, на 2014-2043 годы"
Номер опубликования: 8300201604130004
Дата опубликования: 13.04.2016
Страница №6 из 18:
Увеличить