Официальное опубликование правовых актов
ОФИЦИАЛЬНОЕ ОПУБЛИКОВАНИЕ
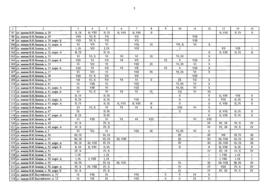
Постановление Администрации Ненецкого автономного округа от 14.10.2015 № 329-п
"О внесении изменений в региональную программу капитального ремонта общего имущества в многоквартирных домах, расположенных на территории Ненецкого автономного округа, на 2014-2043 годы"
Номер опубликования: 8300201510200001
Дата опубликования: 20.10.2015
Страница №6 из 16:
Увеличить