Официальное опубликование правовых актов
ОФИЦИАЛЬНОЕ ОПУБЛИКОВАНИЕ
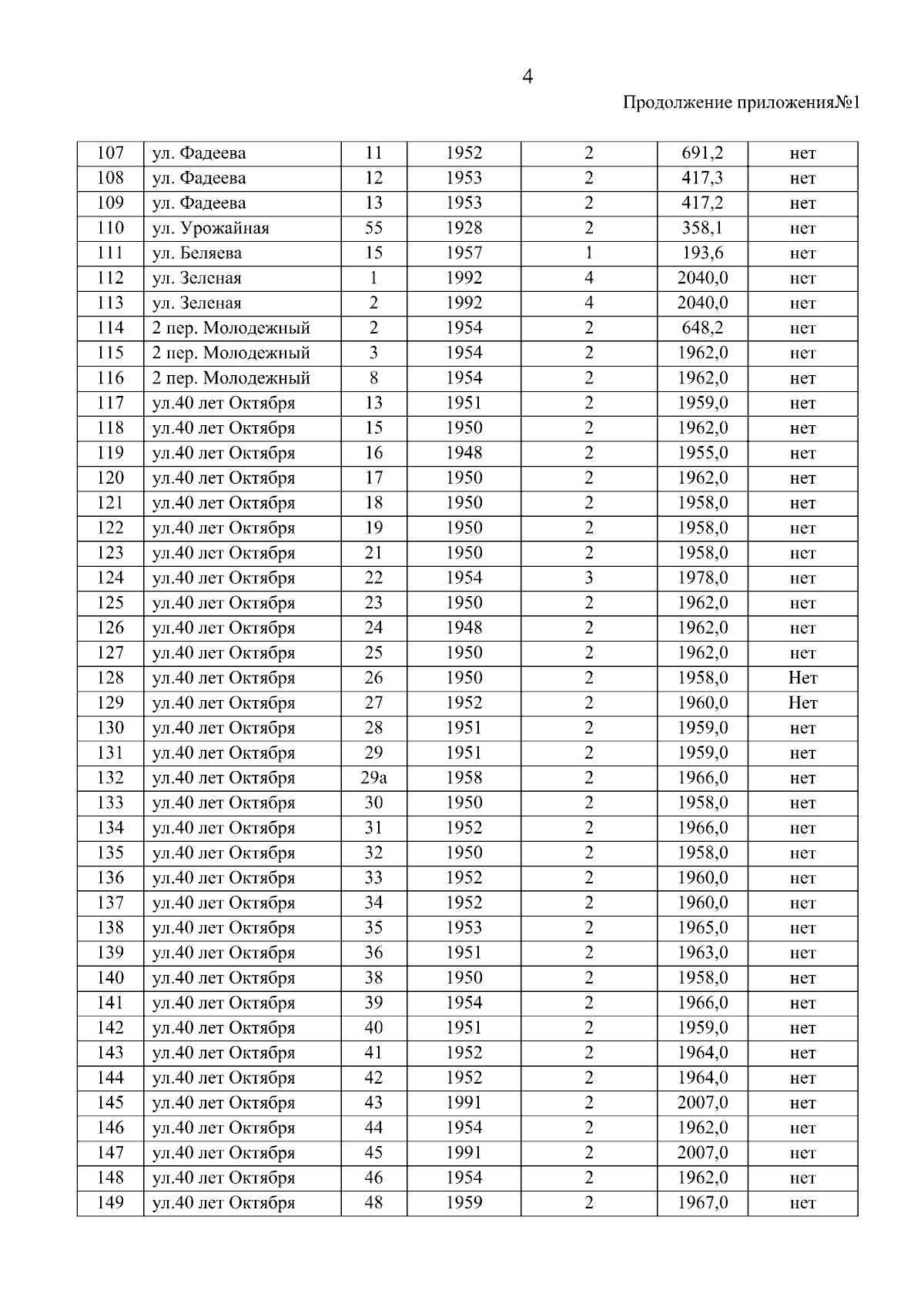
Распоряжение Администрации города Антрацита и Антрацитовского района Луганской Народной Республики от 13.09.2023 № 566
"О некоторых вопросах управления многоквартирными жилыми домами, в отношении которых собственниками помещений в многоквартирном доме не выбран способ управления таким домом или выбранный способ управления не реализован, не определена управляющая организация"
(Зарегистрирован 19.09.2023 № 94/94)
Номер опубликования: 8101202309210001
Дата опубликования: 21.09.2023
Страница №7 из 16:
Увеличить