Официальное опубликование правовых актов
ОФИЦИАЛЬНОЕ ОПУБЛИКОВАНИЕ
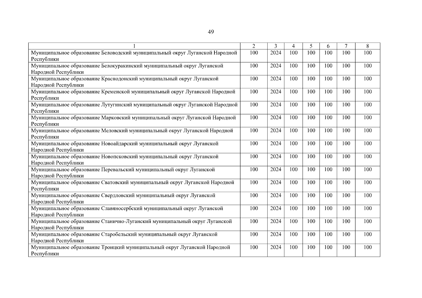
Постановление Правительства Луганской Народной Республики от 13.02.2026 № 28/26
"О внесении изменения в Государственную программу Луганской Народной Республики "Социальная поддержка граждан (Луганская Народная Республика)", утвержденную постановлением Правительства Луганской Народной Республики от 14.10.2025 № 215/25"
Номер опубликования: 8100202602160003
Дата опубликования: 16.02.2026
Страница №49 из 177:
Увеличить