Постановление Правительства Луганской Народной Республики от 12.08.2025 № 153/25
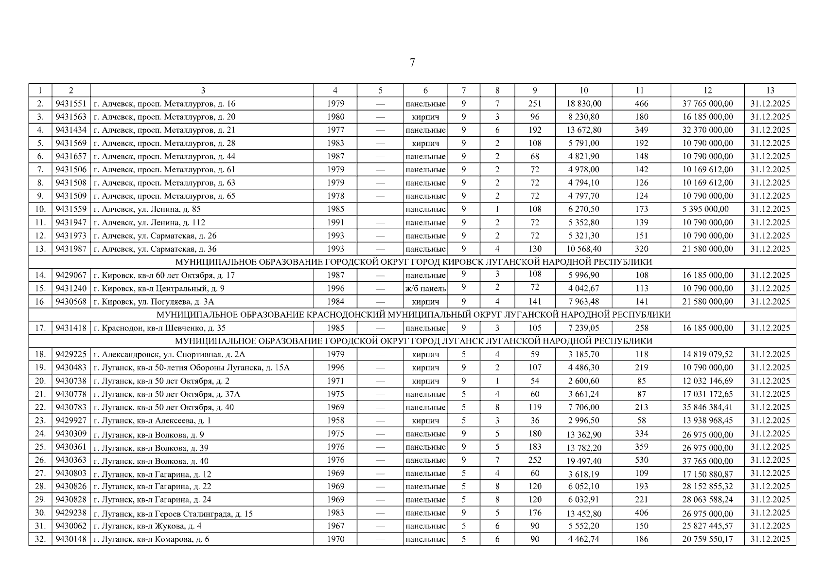
"О внесении изменения в региональную адресную программу капитального ремонта общего имущества в многоквартирных домах на территории Луганской Народной Республики на 2024–2026 годы, утвержденную постановлением Правительства Луганской Народной Республики от 01.10.2024 № 208/24"
"О внесении изменения в региональную адресную программу капитального ремонта общего имущества в многоквартирных домах на территории Луганской Народной Республики на 2024–2026 годы, утвержденную постановлением Правительства Луганской Народной Республики от 01.10.2024 № 208/24"
Номер опубликования: 8100202508130001
Дата опубликования:
13.08.2025
