Официальное опубликование правовых актов
ОФИЦИАЛЬНОЕ ОПУБЛИКОВАНИЕ
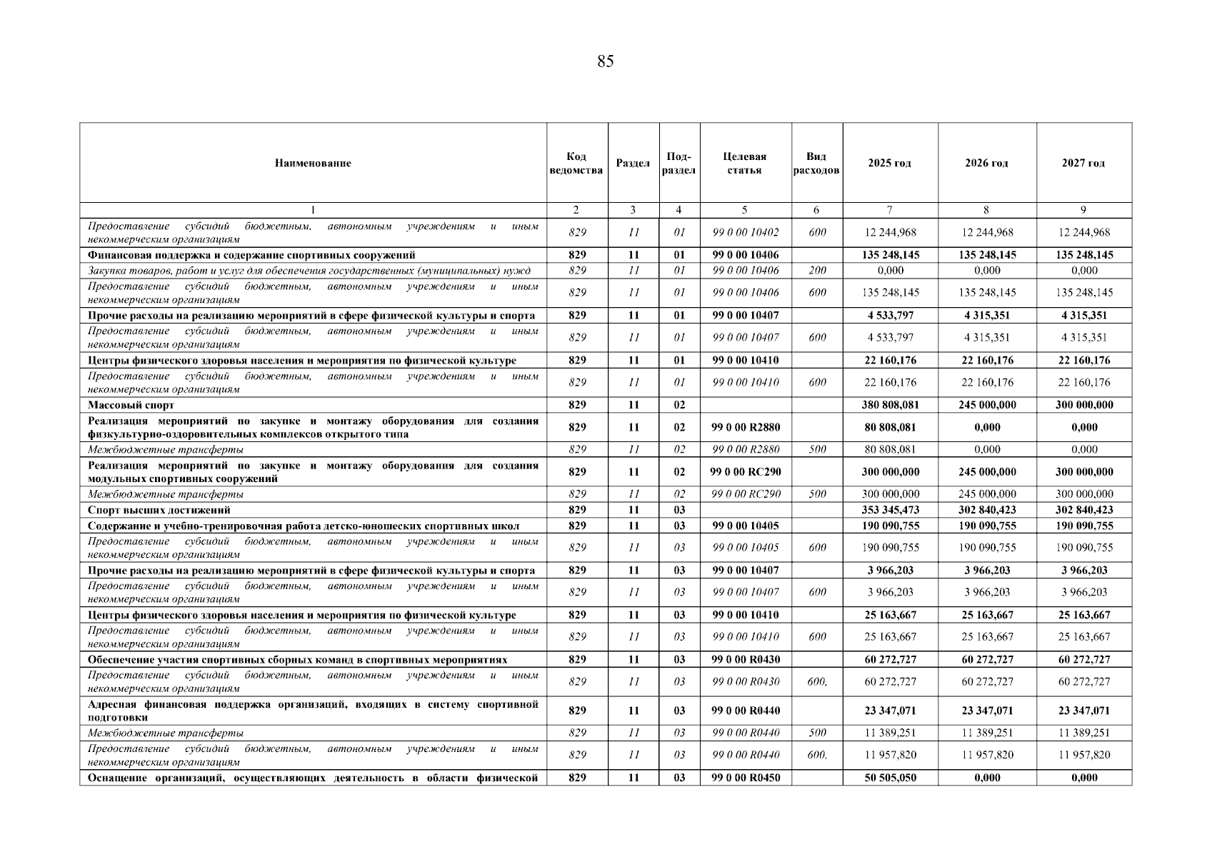
Закон Луганской Народной Республики от 20.03.2025 № 139-I
"О внесении изменений в Закон Луганской Народной Республики "О бюджете Луганской Народной Республики на 2025 год и на плановый период 2026 и 2027 годов"
Номер опубликования: 8100202503210004
Дата опубликования: 21.03.2025
Страница №85 из 90:
Увеличить